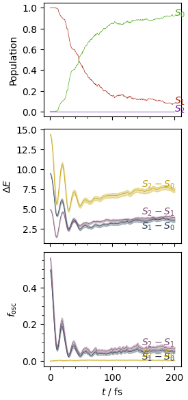
A01


Surface Hopping Trajectory Data








Frames

133109

Software

SHARC 2.1

Computational-Level

SA(3)-CASSCF(2,2)/cc-pVDZ

Timestep

0.5 fs

Maximum Time

200.0 fs

Decoherence Scheme

EDC

Decoherence Parameter

0.1

Hopping Procedure

sharc

PESs

diagonal

Gradient Correction

False

Nonadiabatic Couplings

Yes (overlap)

Spin-Orbit Couplings

No

Info

C-H dissociation